Settle w hat 5x7 high-res.jpg

John came to Shreveport in January of 1977 when he was transferred to Barksdale AFB.

He’s been active in Shreveport politics since deciding to make Shreveport his home.

John practiced law for 40 years and he now monitors local politics. He regularly attends Shreveport City Council and Caddo Parish Commission meetings.

John is published weekly in The Inquisitor, bi-monthly in The Forum News, and frequently in the Shreveport Times.

He enjoys addressing civic groups on local government issues and elections.

 

SHREVEPORT REDEVELOPMENT AGENCY HIRES NOLA FIRM AS OPERATIONS MANAGER


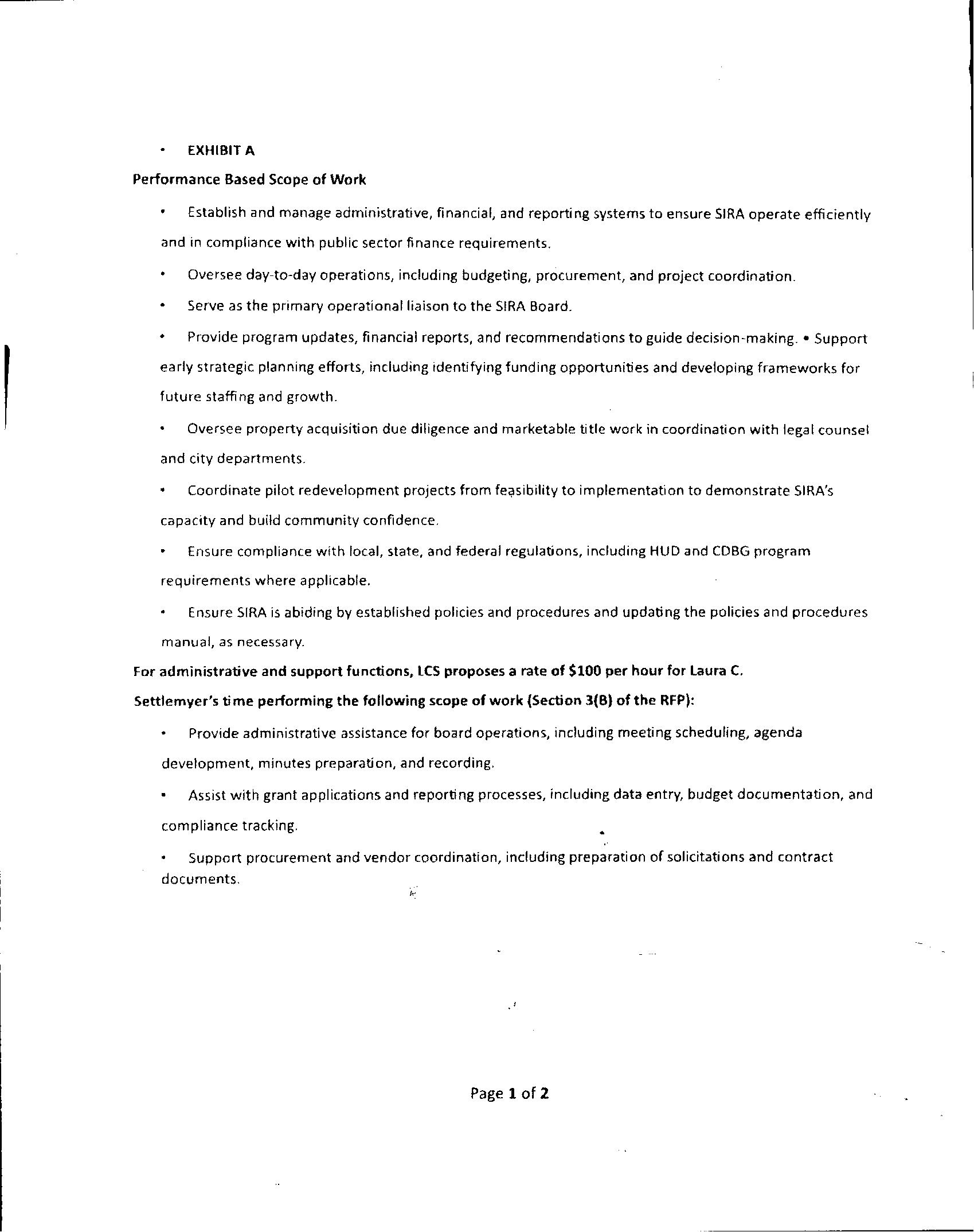
The Shreveport Implementation and Redevelopment Agency (SIRA)  is a public subdivision of the City of Shreveport and it is funded by the Shreveport City Council.

SIRA is authorized under Louisiana law to eliminate blight and promote redevelopment in the city.

Currently SIRA is the title owner of the old YWCA building on Pierre Ave and a five-acre tract off Greenwood Road.

Former Community Development Executive Director Bonnie Moore has been assisting the SIRA Board as an interim volunteer Executive Director.

SIRA has contracted with Levee Civic Solutions, LLC (Levee), a New Orleans consulting firm to provide Operations Management and Administrative services , effective March 5, 2026.

Levee will bill SIRA monthly for operations manager services at $250 per hour and administrative support services at $100 per hour with a total contract price not to exceed $85,000 which includes monthly travel to Shreveport.

The contract requires Levee to attend all regular and special meetings of the SIRA Board.

The scope of services Levee will provide is listed in the attachment to the professional services agreement below.

Shreveport Downtown Development Authority

QUESTIONS TO BE ANSWERED ON SHERIFF WHITEHORN’S DOMESTIC VIOLENCE CENTER